公司基本資料

公司名稱:華友聯開發股份有限公司

公司簡稱:華友聯

股票代號:1436

市場:上市公司

產業:建材營造

主要業務:住宅及大樓開發租售業、休閒活動場館業、餐館業

成立日期:56 年 月 31 日

上市日期:77 年 月 11 日

實收資本額新台幣 1,284,285,460 元

公司地址:高雄市鳳山區文龍路85號11樓

股票過戶機構:群益金鼎證券(股)公司股務代理部

簽證會計師事務所:勤業眾信聯合會計師事務所

電話號碼:(07)780-1381

公司沿革

一、設立登記日期:中華民國五十六年一月三十一日。

二、公司沿革:

公司沿革

經營理念:誠實、專業、信譽

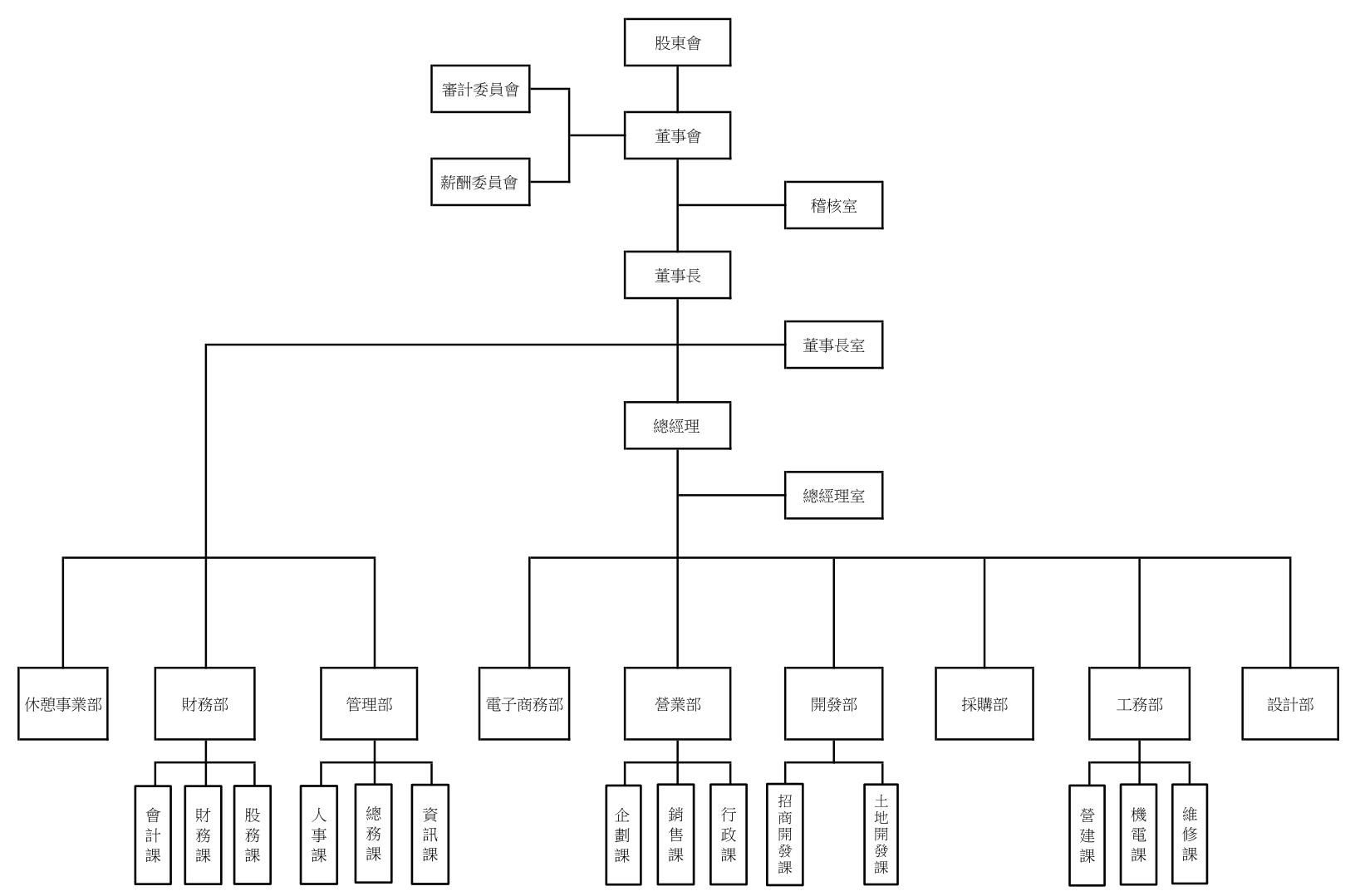
組織架構

經營團隊

職稱

姓名

主要經(學)歷

總經理

陸炤廷

國立高雄科技大學商業智慧學院博士

執行副總經理

吳家德

中山大學管理碩士

財務長

林紹詳

國立中山大學管理學院碩士

副總經理

黃瑞玲

高雄科技大學金融所碩士

副總經理

黃雅敏

長榮大學土地管理與開發學系

副總經理

蘇敬琇

樹德科技大學建築學碩士